[本站讯]近日,公共卫生学院席波教授团队在儿童糖尿病研究领域取得新进展,研究成果发表在BMC Medicine(IF=11.150,中科院 1区)。山东大学公共卫生学院博士后孙嘉鸿和复旦大学博士研究生王策为该论文共同第一作者,席波教授和复旦大学余勇夫教授为共同通讯作者。山东大学为第一作者单位。

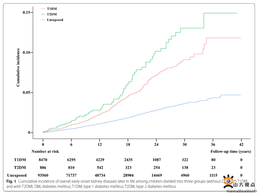
该研究基于丹麦国家病例登记系统数据,纳入9,356例1977-2016年出生的0~17岁糖尿病儿童和93,560例经性别和出生年匹配的健康儿童,探讨了儿童期糖尿病与近期和远期肾脏疾病的关联。结果发现,与健康儿童相比,糖尿病儿童发生早期肾脏疾病的风险增加154%,且1型糖尿病和2型糖尿病均显示相似结果。此外,儿童糖尿病还可增加特异性肾脏疾病的风险,比如肾小球疾病、肾小管间质性疾病、肾功能衰竭和尿石症等。2型糖尿病儿童发生肾小球疾病和肾功能衰竭的风险高于1型糖尿病儿童。该研究结果强调,预防儿童期1型糖尿病和2型糖尿病对于降低近期和远期肾脏疾病负担至关重要。

该研究得到了上海市自然科学基金、上海市科技重大项目、丹麦独立研究委员会、北欧癌症协会、山东大学公共卫生学院科研团队建设经费和山东省自然科学基金的联合资助。
文章链接:
https://bmcmedicine.biomedcentral.com/articles/10.1186/s12916-022-02634-4